Our Privacy Statement & Cookie Policy

By continuing to browse our site you agree to our use of cookies, revised Privacy Policy and Terms of Use. You can change your cookie settings through your browser.

I agree

US administration's trade deficit math: When 2+2 = Tax the penguins

Wu Haojun

Ladies and gentlemen, gather around for today's episode of "How to Start a Trade War Using Kindergarten Math"! The Trump administration has unveiled its latest masterpiece: a tariff formula so "reciprocal," it's like charging your neighbor rent because their lawn is greener. Let's break down this artisanal economic logic, freshly baked in the oven of chaos.

US President Donald Trump displays a signed executive order after announcing a set of
US President Donald Trump displays a signed executive order after announcing a set of "reciprocal tariffs" on other nations in Washington, DC, April 2, 2025. /VCG

US President Donald Trump displays a signed executive order after announcing a set of "reciprocal tariffs" on other nations in Washington, DC, April 2, 2025. /VCG

Step 1: Define "reciprocal" as "Whatever I feel like"

The White House's big-brain formula? Take the US trade deficit with a country, divide it by imports, and — poof — you've got their "hidden tariff rate"!  

Tariff policy now works like a dating app for insecure nations. America swipes right, sends over $100 billion worth of purchasing power. Wakanda responds with a polite $10 billion purchase of bald eagle socks. And the US is like, "What the hell?! We've been ghosted! That's a 90 percent disrespect rate!" So what does the White House do? It cranks up tariffs like it's rage-texting at 2 a.m.:"You never loved us anyway!!! BLOCKED."

Turns out, trade deficits aren't about love or betrayal. They're about economic structure, currency strength, and whether anyone needs 40 metric tons of freedom-flavored chewing gum. But try telling that to a guy screaming "reciprocity" into a calculator.

The Trump administration's tariff formula. /Screenshot from ustr.gov
The Trump administration's tariff formula. /Screenshot from ustr.gov

The Trump administration's tariff formula. /Screenshot from ustr.gov

Step 2: Ignore basic economics (and reality)

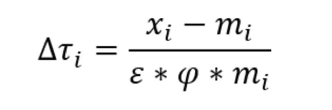
Trump's team used two elasticities:

"Import demand elasticity" (ε = -4): Because Americans stop buying Ferraris if the price rises by $0.50. "

Tariff pass-through" (φ = 0.25): Because only 25 percent of tariffs hit consumers. The rest? Magic! 

Except real economists say φ is 0.945 — meaning 94.5 percent of tariffs get passed to consumers. Oops! But why let facts ruin a good story? As the famed comedian Jon Stewart quipped, "Why bother checking your math when you can just blame fake news?"

A Chinese citizen watches tariff-related news on a mobile phone in Jiangmen City, Guangdong Province, April 13, 2025. /VCG
A Chinese citizen watches tariff-related news on a mobile phone in Jiangmen City, Guangdong Province, April 13, 2025. /VCG

A Chinese citizen watches tariff-related news on a mobile phone in Jiangmen City, Guangdong Province, April 13, 2025. /VCG

Step 3: Tax penguins and call it patriotism

Let's not forget the penguin-populated islands slapped with tariffs. Because nothing screams "America First" like punishing flightless birds for … existing? In a perfect display of headline grabbing protectionism, the administration imposed a 10 percent "America First" tariff on Heard and McDonald Islands wildlife — only Australian territories inhabited solely by penguins and seals— and touted it as a bold defense of US industry.

King penguins standing on the shores of Corinthian Bay in the Australian territory of Heard Island in the Southern Ocean. Photo by Matt Curnock. /VCG
King penguins standing on the shores of Corinthian Bay in the Australian territory of Heard Island in the Southern Ocean. Photo by Matt Curnock. /VCG

King penguins standing on the shores of Corinthian Bay in the Australian territory of Heard Island in the Southern Ocean. Photo by Matt Curnock. /VCG

Conclusion

In the end, it's less about trade policy and more about performance art with spreadsheets. The message is clear: if it moves, tax it; if it doesn't, blame it; if it waddles and eats fish, slap a tariff on it just in case. Welcome to the new economic order — where math is optional, logic is emotional, and somewhere, a penguin is wondering what it did wrong.

Search Trends